(View the complete code for this example.)
Psychometric test theory involves many kinds of models that relate scores on psychological and educational tests to latent variables that represent intelligence or various underlying abilities. The following example uses data on four vocabulary tests from Lord (1957). Tests W and X have 15 items each and are administered with very liberal time limits. Tests Y and Z have 75 items and are administered under time pressure. The covariance matrix is read by the following DATA step:
data lord(type=cov);
input _type_ $ _name_ $ W X Y Z;
datalines;
n . 649 . . .
cov W 86.3979 . . .
cov X 57.7751 86.2632 . .
cov Y 56.8651 59.3177 97.2850 .
cov Z 58.8986 59.6683 73.8201 97.8192
;
The psychometric model of interest states that W and X are determined by a single common factor , and Y and Z are determined by a single common factor
. The two common factors are expected to have a positive correlation, and it is desired to estimate this correlation. It is convenient to assume that the common factors have unit variance, so their correlation will be equal to their covariance. The error terms for all the manifest variables are assumed to be uncorrelated with each other and with the common factors. The model equations are
with the following assumptions:
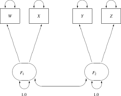
The corresponding path diagram is shown in Figure 19.
Figure 19: Path Diagram: Lord Data

In Figure 19, error terms are not explicitly represented, but error variances for the observed variables are represented by double-headed arrows that point to the variables. The error variance parameters in the model are labeled with ,
,
, and
, respectively, for the four observed variables. In the terminology of confirmatory factor analysis, these four variables are called indicators of the corresponding latent factors
and
.
Figure 19 represents the model equations clearly. It includes all the variables and the parameters in the diagram. However, sometimes researchers represent the same model with a simplified path diagram in which unconstrained parameters are not labeled, as shown in Figure 20.
Figure 20: Simplified Path Diagram: Lord Data

This simplified representation is also compatible with the PATH modeling language of PROC CALIS. In fact, this might be an easier starting point for modelers. With the following rules, the conversion from the path diagram to the PATH model specification is very straightforward:
Each single-headed arrow in the path diagram is specified in the PATH statement.
Each double-headed arrow that points to a single variable is specified in the PVAR statement.
Each double-headed arrow that points to two distinct variables is specified in the PCOV statement.
Hence, you can convert the simplified path diagram in Figure 20 easily to the following PATH model specification:
proc calis data=lord;
path
W <=== F1,
X <=== F1,
Y <=== F2,
Z <=== F2;
pvar
F1 = 1.0,
F2 = 1.0,
W X Y Z;
pcov
F1 F2;
run;
In this specification, you do not need to specify the parameter names. However, you do need to specify fixed values specified in the path diagram. For example, the variances of F1 and F2 are both fixed at 1 in the PVAR statement.
These fixed variances are applied solely for the purpose of model identification. Because F1 and F2 are latent variables and their scales are arbitrary, fixing their scales are necessary for model identification. Beyond these two identification constraints, none of the parameters in the model is constrained. Therefore, this is referred to as the "full" measurement model for the Lord data.
An annotated fit summary is displayed in Figure 21.
Figure 21: Fit Summary, H4: Full Model With Two Factors for Lord Data
| Fit Summary | |
|---|---|
| Chi-Square | 0.7030 |
| Chi-Square DF | 1 |
| Pr > Chi-Square | 0.4018 |
| Standardized RMR (SRMR) | 0.0030 |
| Adjusted GFI (AGFI) | 0.9946 |
| RMSEA Estimate | 0.0000 |
| Bentler Comparative Fit Index | 1.0000 |
The chi-square value is 0.7030 (df=1, p=0.4018). This indicates that you cannot reject the hypothesized model. The standardized root mean square error (SRMSR) is 0.003, which is much smaller than the conventional 0.05 value for accepting good model fit. Similarly, the RMSEA value is virtually zero, indicating an excellent fit. The adjusted GFI (AGFI) and Bentler comparative fit index are close to 1, which also indicate an excellent model fit.
The estimation results are displayed in Figure 22.
Figure 22: Estimation Results, H4: Full Model With Two Factors for Lord Data
| PATH List | |||||||
|---|---|---|---|---|---|---|---|
| Path | Parameter | Estimate | Standard Error |
t Value | Pr > |t| | ||
| W | <=== | F1 | _Parm1 | 7.50066 | 0.32339 | 23.1939 | <.0001 |
| X | <=== | F1 | _Parm2 | 7.70266 | 0.32063 | 24.0235 | <.0001 |
| Y | <=== | F2 | _Parm3 | 8.50947 | 0.32694 | 26.0273 | <.0001 |
| Z | <=== | F2 | _Parm4 | 8.67505 | 0.32560 | 26.6430 | <.0001 |
| Variance Parameters | ||||||
|---|---|---|---|---|---|---|
| Variance Type |
Variable | Parameter | Estimate | Standard Error |
t Value | Pr > |t| |
| Exogenous | F1 | 1.00000 | ||||
| F2 | 1.00000 | |||||
| Error | W | _Parm5 | 30.13796 | 2.47037 | 12.1998 | <.0001 |
| X | _Parm6 | 26.93217 | 2.43065 | 11.0802 | <.0001 | |
| Y | _Parm7 | 24.87396 | 2.35986 | 10.5404 | <.0001 | |
| Z | _Parm8 | 22.56264 | 2.35028 | 9.6000 | <.0001 | |
| Covariances Among Exogenous Variables | ||||||
|---|---|---|---|---|---|---|
| Var1 | Var2 | Parameter | Estimate | Standard Error |
t Value | Pr > |t| |
| F1 | F2 | _Parm9 | 0.89855 | 0.01865 | 48.1800 | <.0001 |
All estimates are shown with estimates of standard errors in Figure 22. They are all statistically significant, supporting nontrivial relationships between the observed variables and the latent factors. Notice that each free parameter in the model has been named automatically in the output. For example, the path coefficient from F1 to W is named _Parm1.
Two results in Figure 22 are particularly interesting. First, in the table for estimates of the path coefficients, _Parm1 and _Parm2 values form one cluster, while _Parm3 and _Parm4 values from another cluster. This seems to indicate that the effects from F1 on the indicators W and X could have been the same in the population and the effects from F2 on the indicators Y and Z could also have been the same in the population. Another interesting result is the estimate for the correlation between F1 and F2 (both were set to have variance 1). The correlation estimate (_Parm9 in the Figure 22) is 0.8986. It is so close to 1 that you wonder whether F1 and F2 could have been the same factor in the population. These estimation results can be used to motivate additional analyses for testing the suggested constrained models against new data sets. However, for illustration purposes, the same data set is used to demonstrate the additional model fitting in the subsequent sections.
In an analysis of these data by Jöreskog and Sörbom (1979, pp. 54–56) (see also Loehlin 1987, pp. 84–87), four hypotheses are considered:
These hypotheses are ordered such that the latter models are less constrained. The hypothesis is the full model that has been considered in this section. The hypothesis
specifies that there is really just one common factor instead of two; in the terminology of test theory, W, X, Y, and Z are said to be congeneric. Setting the correlation
between
F1 and F2 to 1 makes the two factors indistinguishable. The hypothesis specifies that W and X have the same true scores and have equal error variance; such tests are said to be parallel. The hypothesis
also requires Y and Z to be parallel. Because
is not constrained to 1 in
, two factors are assumed for this model. The hypothesis
says that W and X are parallel tests, Y and Z are parallel tests, and all four tests are congeneric (with
also set to 1).