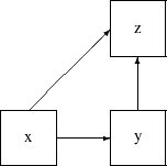
In structural equation modeling, effects from one variable to other variables can be direct or indirect. For example, in the following path diagram x has a direct effect on z in addition to an indirect effect on z via y:
Figure 58:

However, y has only a direct effect (but no indirect effect) on z. In cases like this, researchers are interested in computing the total, direct, and indirect effects from x and y to z. You can use the EFFPART option in the PROC CALIS statement to request this kind of effect partitioning in your model. Total, direct, and indirect effects are displayed, together with their standard error estimates. If your output contains standardized results (default), the standardized total, direct, and indirect effects and their standard error estimates are also displayed. With the EFFPART option, effects analysis is applied to all variables (excluding error terms) in your model.
In large models with many variables, researchers might want to analyze the effects only for a handful of variables. In this regard, PROC CALIS provides you a way to do a customized version of effect analysis. For example, the following EFFPART statement requests the effect partitioning of x1 and x2 on y1 and y2, even though there might be many more variables in the model:
effpart x1 x2 ===> y1 y2;
See the EFFPART statement of ChapterĀ 33, The CALIS Procedure, for details.